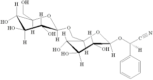
| Amygdalin | 
Amygdalin is a natural cyanide-containing substances abundant in prunasin family (apricots, apples, almonds, peaches). It is initially isolated from the seeds of the tree Prunus dulcis or bitter almonds in 1830, and its name is derived by the Greek word αμύγδαλο/amigdalo (almond). The metabolism of amygdalin produces hydrogen cyanide, a potent toxin The symptoms of poisoning include Nausea and vomiting, headache, dizziness, mental confusion, coma, death)
|  | 
| laetrile | 
In contrast the promotion of laetrile to treat cancer has been described in the scientific literature as an example of quackery. The US Food and Drug Administration prohibited the interstate shipment of amygdalin and laetrile in 1977. 
Shragg TA, Albertson TE, Fisher CJ (January 1982). "Cyanide poisoning after bitter almond ingestion". West. J. Med. 136 (1): 65–9. 
Chang HK, Shin MS, Yang HY, Lee JW, Kim YS, Lee MH, Kim J, Kim KH, Kim CJ.Amygdalin induces apoptosis through regulation of Bax and Bcl-2 expressions in human DU145 and LNCaP prostate cancer cells.1. Biol Pharm Bull. 2006 Aug;29(8):1597-602.
Milazzo S, Lejeune S, Ernst E. Laetrile for cancer: a systematic review of the clinical evidence. Support Care Cancer. 2007 Jun;15(6):583-95. Epub 2006 Nov 15.
 
Cyanide, believe it or not, is a dietary expectation within biologically rational quantities. Cyanide within the body is transformed into another substance called, 'thiocyanate'. Sickle cell anemia is a thiocyanate deficiency disease. Do you see what I'm getting at? Hundreds of foods we consume daily contain dietary cyanide. Provided that we don't overwhelm our natural capacities to process it safely, there is no danger. Cyanide is not an accumulative toxin.
ReplyDeleteThat said, it is totally possible to eat too many apricot kernels and feel quite unwell as a result, but a fatal dose is a very large quantity and highly unlikely. So unlikely, in fact, that it has never been medically reported in a documented, verifiable way. That is a fact that should surprise anyone vaguely familiar with this controversy.
Whether or not apricot kernels work is somewhat irrelevant. What is relevant is that people believe that they work and thousands have reported benefit and cure from their use. Yes, this information is anecdotal... who cares. Placebo or not, if apricot kernels provide hope under not-so-hopeful circumstances, their use is justified. No one is going to die from eating apricot kernels. At worst, they might be admitted to hospital, where they'll be treated with an antidote that is 100% effective. At best, the apricot kernels will stop the cancer from spreading, which is their number one function. When the cancer is stopped in its tracks, the immune system has a chance to tackle the beast head to head. Unfortunately, conventional treatment destroys the immune system and it is typically only the younger, more resilient of patients who will overcome this scenario.
If willing, have a read of my own blog at http://apricot-kernels.blogspot.com